next up previous
Next: Generating masks for volume Up: Bandlimiting and the ``thickness'' Previous: Bandlimiting and thickness in

Bandlimiting and thickness in the context of the Nyquist criterion

Because neither $ 1/i\omega $ nor $ e^{-\sigma ^2 \omega ^2/2}$ ever fall to zero as $ \omega $ approaches infinity, the boundary spectrum $ \mathcal{F}(f)(\omega )$ will always have non-zero magnitude . Also, due to the $ 1/i\omega $ factor, $ \mathcal{F}(f)(\omega )$ is infinitely high near $ \omega = 0$, and is thus not integrable. Thus, it is not possible to discuss what fraction of the boundary spectrum falls below the Nyquist frequency for a given Gaussian attenuation. Rather, it only makes sense to discuss the Nyquist criterion in relation to the Gaussian attenuation itself. The relevant attribute of the Gaussian function is its width, since this gives an indication of the range of frequencies which pass through the measurement process. As the Gaussian function is always positive, we must contrive some measure of its width. A common engineering practice is to measure the ``Full Width Half Max''-- the horizontal width of the function's graph at half of its maximum height. For a Gaussian with standard deviation $ \eta$, the the FWHM is $ 2 \eta
\sqrt{2\ln{2}}$ [KK68]. As the measurement attenuation Gaussian has standard deviation $ 1/\sigma $, its FWHM is $ 2
\sqrt{2\ln{2}}/\sigma $.

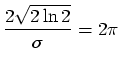
One plausible way relate the boundary thickness to the Nyquist rate is to set the FWHM of the Gaussian function in frequency space to equal the range of frequencies which satisfy the Nyquist criterion. If we specify that the distance between data sample points is one unit (that is, the length of a voxel's edge is one), then the Nyquist frequency is $ \pi$ radians per sample, and the range of frequencies which satisfy the Nyquist criterion are from $ -\pi$ to $ \pi$. Then we have:

$\displaystyle \frac{2\sqrt{2\ln{2}}}{\sigma } = 2\pi$ (32)

Solving Equation A.11 for $ \sigma $ to find the boundary thickness $ 2\sigma $ yields:

$\displaystyle \frac{\sqrt{2\ln{2}}}{\sigma } = \pi ~\Rightarrow~ \sigma = \frac...
...row~ \mathit{thickness} = 2\sigma = \frac{2\sqrt{2\ln{2}}}{\pi} \approx 0.74956$ (33)

Thus, the boundary thickness will be about 75% of the distance between sample points. For comparison, if we had set the FWHM of the Gaussian attenuation to fit in half the Nyquist range ($ -\pi/2$ to $ \pi/2$), then the corresponding boundary thickness would be twice as large, approximately 150% of the inter-sample distance.

It may seem that this boundary thickness will not be large enough to be detected by the histogram volume, if at any given location on the object surface only about one voxel can fit within the boundary region. However, we are helped by the fact that significant objects in a dataset tend to have large surface areas, and that the surfaces tend to take on a variety of orientations and positions relative to the sampling grid. To some extent this was illustrated with Figure 4.2 in the discussion of histogram volume formation.

At this point, however, we are also equipped to make a more quantitative probabilistic argument. If an object measured in a volume dataset has surface area $ A$, the boundary region surrounding the object will have a volume approximately equal to $ 2A\sigma $, since the boundary thickness is $ 2\sigma $. Assuming that the dataset sample points are distributed evenly throughout the volume inside the boundary region, the amount of the boundary region volume gives the approximate number of sample points within the boundary region. Thus, if the Gaussian attenuation in frequency space has a standard deviation $ 1/\sigma $, we can compute an approximate number of hits along the the curves in the histogram volume:

$\displaystyle \mathit{approx.~number~of~hits~along~histogram~curves} = 2A\sigma$ (34)

This relationship explains why the scatterplot curves for small surface area boundaries were lighter than those for larger surface area boundaries. We can also do a ``back of the envelope'' calculation to show that having the boundary thickness be only $ 1.0$ is not undetectably thin. Suppose we have a $ 128^3$ dataset which contains a sphere with a diameter $ 64$ samples across. Its surface area is then $ 4\pi r^2$, and with $ r=32$ and thickness $ = 1$, this implies about $ 12,868$ samples within the boundary region, representing sufficient hits along the boundary curve in the histogram volume.
next up previous
Next: Generating masks for volume Up: Bandlimiting and the ``thickness'' Previous: Bandlimiting and thickness in